
1范圍
本作業指導書適用于接地網接地電阻測量,規定了接地網交接驗收、預防性試驗和檢 修過程中的接地電阻測量試驗的引用標準、儀器設備要求、試驗人員要求和職責、作業程序、試驗結果判斷方法和試驗注意事項等。制定本指導書的目的是規范接地網接地電阻試驗,保證試驗結果的準確性,為設備運行、監督、檢修提供依據。
2規范性引用文件
下列文件中的條款通過本作業指導書的引用而成為本作業指導書的條款。凡是注日期的引用文件,其隨后所有的修改單或修訂版均不適用于本作業指導書,然而,鼓勵根據本作業指導書達成協議的各方研究是否可使用這些文件的最新版本。凡是不注日期的引用文件,其最新版本適用于本作業指導書。
DL475接地裝置工頻特性參數的測量導則
DL/T621交流電氣裝置的接地
3工作程序
3.1人員要求
a) 人數:一般根據被測接地網面積大小來定,整個接地網最大對角線長度超過500m,至少需10人。
b) 資質:負責人必須熟悉地網測試技術;試驗人員中至少有2人為電氣技術工人。
3.2設備清單和要求
接地網接地電阻測量目前常用的方法有兩種:一是變頻法;一是工頻電壓電流法。每種測量方法的設備分可共用部分和不可共用部分,可共用部分單列清單及要求,不可共用部分在每種測量方法的清單及要求中分別說明。
3.2.1可共用的設備清單及要求
a)對講機:2對:
b) 大錘:1把;
c) 常用工具:1套;
d) 絕緣黑膠布:若干卷(視接地引線的卷數而定)。
3.2.2采用變頻法的設備清單及要求
a) 變頻接地電阻測試儀一套,電源須充電的設備應在測試前一天充好電。
b) 接地電極:一端為尖頭,長度不小于1m,直徑不小于20mm的鋼管或圓鋼4根。
C)接地引線:
1)電流極引線。銅芯絕緣外皮,截面不小于1.0mm2,,長度為4~5倍整個被測地網的最大對角線長度減去整個地網中心與地網邊緣之間的距離,如放線有困難或土壤較均勻時,長度至少取2倍整個被測地網的最大對角線長度減去整個地
網中心與地網邊緣之間的距離。
2)電壓極引線,銅芯絕緣外皮,截面不小于1.0 mm2,長度為電流極引線長度的0.618倍減去整個地網中心與地網邊緣之間的距離;組成電流極引線和電壓極引線的各段線應在測試前分別測量過連通狀況。
3.2.3采用工頻電壓電流法的設備清單及要求
一般情況下,電流極接地電阻均可達到100Ω以下,所以下列設備均是在滿足這個條件下提出的。
a) 專用的工頻電壓電流法測試儀:1套,工頻輸出電流應能達到10A及以上。
b) 如沒有專用測試儀,則需要設備:
1) 單相調壓器:容量不小于15kVA,1臺;
2)隔離試驗變:容量10kVA及以上,變比1kV/400V(220V),1臺;
3) 隔離電流互感器:1臺,0.2級;
4)電壓表:0~600V,0.5級,1只;如電流極接地電阻很小,需要1只毫伏表;
5)電流表:0一5A,0.5級,1只;
6) 兩相刀閘:兩只。
c) 接地電極:10根及以上空心(實心)鐵(鋼)管,一端為尖頭,每根長度不小于lm,截面直徑不小于20mm。
d) 接地引線:
1) 電流極引線。銅芯絕緣外皮,截面不小于2.5 mm2,長度為4~5倍整個被測地網的最大對角線長度減去整個地網中心與地網邊緣之間的距離,如放線有困難或土壤較均勻時長度至少取2倍整個被測地網的最大對角線長度減去整個地網中心與地網邊緣之間的距離。
2)電壓極引線:銅芯絕緣外皮,截面不小于1.0 mm2,長度為電流極引線長度的0.618倍減去整個地網中心與地網邊緣之間的距離;組成電流極引線和電壓極引線的各段線應在測試前分別測過連通狀況。
注1:如電流接地極的接地電阻不能低于100Ω時,各設備的參數要依據該電阻值和試驗電流值而定;
注2:現場應能提供220V試驗電源。
3.3作業程序
3.3.1變頻法
3.3.1.1測試方法
用變頻法測量時,其原理接線圖如圖1所示。電壓線與電流線相距為2m及以上,可避免互感的影響,試驗電流宜為1A及以上。
3.3.1.2試驗步驟
假設被測地網的最大對角線長度為D,整個地網中心與地網邊緣之間的距離為d,單位為km。
a)將電壓極、電流極按照圖1所示的方法布線,其中:
dGC=4D一d
dGP=4D x 0.618一d
b) 按下測試鍵。
c) 直接讀出電阻值。
d) 記錄數據后,關掉電源;改變電壓極位置,使dGP = (4D x 0.618一d) x 1.05(km)。
e) 重復上述步驟b)、c),測1次。
f) 記錄數據后,關掉電源;改變電壓極位置,使dGP=(4D x 0.618一d) x0.95(km)。
g) 重復上述步驟b)、c),再測1次。
h) 記錄數據后,關掉電源。
i) 試驗結束,清理現場。
3.3.1.3注意事項
測試時,引線沿線應有專人照看,以免測試線丟失,造成測量終止。
3.3.2工頻電壓電流法
3.3.2.1測試方法
采用三極法,其試驗原理接線圖如圖2所示,按照圖2布置好接線方式,電壓極引線和電流極引線之間距離不小于2m,假設被測地網的最大對角線長度為D,整個地網中心與地網邊緣之間的距離為d,那么,dGC取(4D一d ) , dGP取(4D x 0.618一d);利用調壓器和隔離升壓變組成的工頻電源從被測地網測點加人一不小于10 A的電流,記錄此時的電壓和電流數,由此便可得到接地電阻值。
3.3.2.2試驗步驟
設被測地網的最大對角線長度為D,整個地網中心與地網邊緣之間的距離為d,單位為km。
a)將電壓極、電流極按照圖2所示的方法布線,其中:
dGC=4D-d
dGP=4Dx0.618一d
b) 首先,在加電源前,讀電壓表,記錄UGD。
c)加電源,將工頻交流電源的輸出電流升至10A。
d) 準確讀出電流表、電壓表值。
e) 記錄數據后,降低電源電壓至零,關掉電源。
F )倒電源極性,重復上述步驟b)、c)、d)、e),再測1次。
g)改變電壓極位置,使dGP=(4Dx0.618一d)x1.05。
h)重復上述步驟b)、c)、d)、e),進行測量。
i)改變電壓極位置,使dGP=(4Dx0.618一d)x0.95。
J)重復上述步驟b)、c)、d)、e),進行測量。
k) 試驗結束,清理現場。
3.3.2.3安全措施
a) 試驗區域內,凡有礙于試驗的其他工作務必停止。
b) 試驗期間,試驗區域內必須有安全監護人員。
c)電壓極引線和電流極引線沿線每100m應設一人照看,尤其是有行人和車輛通過的路口,引線通過時必須架高,必要時裝設注意安全紅色標記,以確保行人和車輛安全。
3.4試驗結果判斷依據
對于非直接產生的結果,包括相關的計算公式和計算方法。
3.4.1變頻法
用變頻法測量時,通過改變電壓極的位置,可測得3個電阻值,比較3個電阻值的變化情況是否與電壓極引線離開測點距離的變化情況一致,如一致,便可確定dGP取(4Dx0.618-d)時所測得的電阻值為實測值;如不一致,須結合歷史數據、實際土壤電阻率等情況進一步分析原因,以確定實測值。
發電廠、變電所電氣裝置保護接地的接地電阻要求如下。
a)一般情況下,接地裝置的接地電阻應符合下式要求:
式中:
R----考慮到季節變化的最大接地電阻,Ω;
I-----計算用的流經接地裝置的入地短路電流,A.
公式(1)計算用流經接地裝置的入地短路電流,采用在接地裝置內、外短路時,經接地裝置流入地中的最大短路電流對稱分量最大值,該電流應按5~10年發展后的系統最大運行方式確定,并應考慮系統中各接地中性點間的短路電流分配,以及避雷線中分走的接地短路電流。
b)當接地裝置的接地電阻不符合式(1)要求時,可通過技術經濟比較增大接地電阻,但不得大于5Ω,且應符合以下要求:
1) 為防止轉移電位引起的危害,對可能將接地網的高電位引向廠、所外或將低電位引向廠、所內的設施,應采取隔離措施。例如:對外的通信設備加隔離變壓器;向廠、所外供電的低壓線路采用架空線,其電源中性點不在廠、所內接地,改在廠、所外適當的地方接地;通向廠、所外的管道采用絕緣段,鐵路軌道分別在兩處加絕緣魚尾板等等。
2) 考慮短路電流非周期分量的影響,當接地網電位升高時,發電廠、變電所內的3~10kV閥式避雷器不應動作或動作后應承受被賦與的能量。
3) 應核算接觸電位差和跨步電位差。
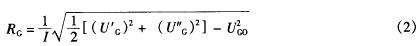
3.4.2工頻電壓電流法
用倒相法得到的工頻接地阻值為:
式中:
I----通過接地裝置的接地電流,測試電壓倒相前后保持不變;
U'G、U" G-----測試電壓倒相前后的接地裝置的對地電壓;
U G0------不加測試電壓接地裝置的對地電壓,即零序電流在接地裝置上產生的電壓降。
試驗結果判斷依據同3.4.1。
3.5注意事項
3.5.1測試方法注意事項
a)消除接地裝置中的零序電流的影響。對于工頻電壓電流法,在不停電的條件下,由于接地裝置中存在電力系統的零序電流,它會影響工頻接地電阻的實測值。既可以通過增大接地裝置測試電流值的辦法,也可以用倒相法來減小零序電流對工
頻接地電阻實測值的影響。
b)消除高頻干擾電壓的影響。當測量用的電壓線較長時,電壓線上可能出現廣播電磁場等交變電磁場產生的干擾電壓。如果用有效值電壓表測量電壓,則電壓表的指示值要受高頻干擾。
c)消除輸電線的避雷線的影響。在許多變電所中,輸電線的避雷線是與變電所的接地裝置相連,這會影響變電所接地電阻的實測值。因此,在測量前,應將避雷線與變電所接地裝置的電連接斷開。
d)盡量增大工頻電壓電流法中的測試電流。通過接地裝置的測試電流大,則接地裝置中的零序電流和干擾電壓對測量結果的影響就小。為了減小工頻接地電阻實測值的誤差,通過接地裝置的測試電流不宜小于10A。為了得到較大的測試電流,一般要求電流極的接地電阻不大于100Ω。
e)避免運行中的輸電線路的影響。盡可能使測量線遠離運行中的輸電線路或與其垂直,以減小干擾影響。
f) 避免河流、地下管道等導電體。測量電極的布置要避開河流、水渠、地下管道等。
g)不能在雨后立即進行測試。
h) 應記錄測試時的環境溫度。
i)應用高阻電壓表測電壓。
3.5.2判斷方法注意事項
a)電壓極分別在3個不同位置時測得的視在電阻變化情況應與電壓極引線距離變化趨勢保持一致。
b)正常情況下,測得的接地網阻值應與歷史數據比較接近,且與根據地網面積和土壤電阻率的估算值接近。
4原始記錄與正式報告
4.1對原始記錄與正式報告的要求
a)原始記錄的填寫要字跡清晰、完整、準確,不得隨意涂改,不得留有空白,并在原始記錄上注明使用的儀器設備名稱及編號。
b)當記錄表格出現某些“表格”確無數據記錄時,可用“/”表示此格無數據。
c)若確屬筆誤,出現記錄錯誤時,允許用“單線劃改”,并要求更改者在更改旁邊簽名。
d) 原始記錄應由記錄人員和審核人員二級審核簽字;試驗報告應由擬稿人員、審核人員、批準人員三級審核簽字。
e)原始記錄的記錄人與審核人不得是同一人,正式報告的擬稿人與審核/批準人不得是同一人。
f)原始記錄及試驗報告應按規定存檔。